Druk nr 646
28 maja 2001 r.
SENAT
RZECZYPOSPOLITEJ POLSKIEJ
IV KADENCJA
MARSZAŁEK SEJMU
RZECZYPOSPOLITEJ POLSKIEJ
Pani
Alicja GRZEŚKOWIAK
MARSZAŁEK SENATU
RZECZYPOSPOLITEJ POLSKIEJ
Zgodnie z art. 121 ust. 1 Konstytucji Rzeczypospolitej Polskiej mam zaszczyt
przesłać Pani Marszałek do rozpatrzenia przez Senat uchwaloną przez Sejm Rzeczypospolitej Polskiej na 109. posiedzeniu w dniu 25 maja 2001 r. ustawę o kredycie konsumenckim.Z poważaniem
(-) Maciej Płażyński
USTAWA
z dnia 25 maja 2001 r.
o kredycie konsumenckim
Art. 1.
Ustawa reguluje zasady i tryb zawierania umów o kredyt konsumencki, zasady ochrony konsumenta, który zawarł umowę o kredyt konsumencki, oraz obowiązki przedsiębio
rcy, który udzielił kredytu konsumenckiego.Art. 2.
1. Przez umowę o kredyt konsumencki rozumie się umowę, na mocy której przedsiębiorca w zakresie swojej działalności, zwany dalej
"kredytodawcą", udziela lub daje przyrzeczenie udzielenia konsumentowi kredytu w jakiejkolwiek postaci.2. Z
a umowę o kredyt konsumencki uważa się w szczególności:1) umowę pożyczki,
2) umowę kredytu w rozumieniu przepisów prawa bankowego,
3) umowę o odroczeniu konsumentowi terminu spełnienia świadczenia pieniężn
4) umowę, na mocy której świadczenie pieniężne konsumenta ma zostać spełni
one później niż świadczenie kredytodawcy,5) umowę, na mocy której kredytodawca zobowiązany jest do zaciągnięcia z
obowiązania wobec osoby trzeciej, a konsument do zwrotu kredytodawcy spełnionego świadczenia,6) umowę, na mocy której kredytodawca zobowiązuje się do udzielenia kredytu związanego z obowiązkiem wniesienia przez konsumenta, w jakiejkolwiek formie, środków pieniężnych oprocentowanych poniżej stopy rynkowej lub nieoprocent
owych.3. Ustawę stosuje się także do umów, na mocy których spółdzielcza kasa oszczędn
ościowo-kredytowa w zakresie swojej działalności udziela lub daje przyrzeczenie udzielenia swojemu członkowi kredytu w celu bezpośrednio niezwiązanym z działalnością gospodarczą.4. Konsumentem jest osoba fizyczna
, która zawiera umowę z przedsiębiorcą w celu bezpośrednio niezwiązanym z działalnością gospodarczą.Art. 3.
1. Ustawy nie stosuje się do umów o kredyt konsumencki:
1) o wysokości mniejszej niż 500 zł i większej niż 80 000 zł albo równowartości tych kwot w innej walucie niż waluta polska,
2) na mocy których termin spłaty kredytu nie przekracza trzech miesię
3) na mocy których konsument nie jest zobowiązany do zapłaty oprocentowania ani innych kosztów związanych z udzieleniem lub spłatą kredytu konsumen
ckiego.2. Ustawy nie stosuje się także do umów o kredyt konsumencki:
1) w postaci nieprzewidzianego w umowie, utrzymującego się za zgodą kredyt
2) doty
czących odpłatnego korzystania z rzeczy lub praw, jeżeli umowa nie przewiduje przejścia własności rzeczy lub praw na konsumenta,3) przeznaczony na nabycie nieruchomości lub prawa użytkowania wieczystego, budowę, odbudowę, rozbudowę, nadbudowę, przebudowę, remont budynku lub lokalu stanowiącego odrębną nieruchomość lub na nabycie spółdzielczego wł
asnościowego prawa do lokalu mieszkalnego oraz wniesienie wkładu członkowskiego do spółdzielni mieszkaniowej,4) w postaci odroczenia terminu płatności za świadczenie niepieniężne, którego przedmiotem jest stałe lub sukcesywne dostarczanie energii elektrycznej, ci
epła, paliw gazowych, wody, odprowadzenia nieczystości, wywóz śmieci lub świadczenie innych usług, jeżeli konsument zobowiązany jest do zapłaty za spełnione świadczenie w ustalonych odstępach czasu w trakcie trwania umowy.
Art. 4.
1. Umowa o kredyt konsumencki powinna być zawarta na piśmie, chyba że odrębne przepisy przewidują inną szczególną formę. Kredytodawca obowiązany jest ni
ezwłocznie doręczyć konsumentowi umowę.2. Umowa powinna zawierać następujące dane:
1) imię, nazwisko konsumenta i jego adres oraz imię, nazwisko (nazwę) i adres (siedzibę) kredytodawcy, a gdy kredytodawcą jest osoba prawna, także okr
2) wysokość kredytu,
3) zasady i terminy spłaty kredytu,
4) roczną stopę oprocentowania oraz warunki jej zmiany,
5) opłaty i prowizje oraz inne koszty związane z udzieleniem kredytu,
w tym opłatę za rozpatrzenie wniosku kredytowego oraz przygotowanie i zawarcie umowy kredytowej, zwaną dalej "opłatą przygotowawczą", będące elementem całkowitego kosztu kredytu oraz warunki ich zmiany,6) informację o całkowitym koszcie kredytu i rzeczywi
stej rocznej stopie oprocentowania, o których mowa w art. 7 ust. 1 i 2,7) sposób zabezpieczenia, jeżeli umowa je przewiduje, oraz opłaty należne kred
ytodawcy z tego tytułu,8) informację o pozostałych kosztach, do których zapłaty zobowiązany jest ko
nsument w związku z zawartą umową,9) informację o łącznej kwocie wszystkich kosztów, opłat i prowizji, do których zapłaty zobowiązany jest konsument,
10) informację o uprawnieniu i skutkach przedterminowej spłaty kredytu przez konsumenta,
11) informację o term
inie, sposobie i skutkach wykonania uprawnienia do odstąpienia od umowy przez konsumenta, o którym mowa w art. 11,12) informację o skutkach uchybienia postanowieniom dotyczącym zasad i terminu spłaty kredytu.
3. Jeżeli nie jest możliwe podanie kosztów, do których poniesienia zobowiązany jest konsument, należy określić ich szacunkową wysokość oraz okoliczności, od kt
órych zależy ich ostateczna wysokość i obowiązek zapłaty przez konsumenta.4. W przypadku umowy, o której mowa w art. 2 ust. 2 pkt 6, kredytoda
wca obowiązany jest podać dodatkowo maksymalny okres oczekiwania na kredyt oraz warunki odstąpienia od umowy wniesienia środków pieniężnych.
Art. 5.
1.Jeżeli kredyt konsumencki przeznaczony jest na nabycie określonej rzeczy lub
usługi, umowa, niezależnie od danych określonych w art. 4, powinna zawierać:1) opis rzeczy lub usługi,
2) cenę nabycia rzeczy lub usługi, jeżeli zapłata nastąpiłaby za gotówkę oraz cenę nabycia przy wykorzystaniu kredytu,
3) część ceny, którą konsument jest zobowiązany zapłacić w g
4) warunki, od których spełnienia uzależnione jest przejście własności rzeczy sprzedanej na konsumenta, jeżeli umowa sprzedaży została zawarta z zastrz
eżeniem własności,5) informację, że kredyt jest dostępny wyłącznie od wskazanego przez sprzedawcę kredytodawcy, jeżeli pomiędzy podmiotem, z którym konsument zawarł um
owę o nabycie rzeczy lub usługi a kredytodawcą istnieje umowa, na mocy której kredyt na nabycie rzeczy lub usługi jest dostępny wyłącznie od tego kredytodawcy.2. Przepisy dotyczące umo
wy o kredyt konsumencki przeznaczony na nabycie określonej rzeczy lub usługi stosuje się odpowiednio do umowy o kredyt konsumencki przeznaczony na nabycie określonego prawa.
Art. 6.
Jeżeli zadłużenie konsumenta w związku z nieprzewidzianym w umowie przekr
oczeniem salda na rachunku bankowym utrzymuje się za zgodą kredytodawcy przez okres co najmniej 3 miesięcy, kredytodawca obowiązany jest poinformować konsumenta pisemnie o rocznej stopie oprocentowania i innych kosztach kredytu oraz o każdej ich zmianie.
Art. 7.
1. Całkowity koszt kredytu oznacza wszystkie koszty wraz z odsetkami i innymi opł
atami i prowizjami, które konsument jest zobowiązany zapłacić za kredyt wraz z utraconymi korzyściami z tytułu wniesienia środków pieniężnych w przypadku kredytu, o którym mowa w art. 2 ust. 2 pkt 6, z wyjątkiem kosztów:1) które ponosi konsument w związku z niewykonaniem swoich zobowiązań w
ynikających z umowy o kredyt konsumencki,2) które w związku z nabyciem rzeczy lub usługi ponosi konsument, niezależnie od tego, czy nabycie następuje z wykorzystaniem kredytu,
3) prowadzenia rachunku, z którego realizowane są spłaty oraz kosztów przel
ewów i wpłat na ten rachunek, chyba że konsument nie ma prawa wyboru podmiotu prowadzącego rachunek, a koszty te przekraczają koszty dla rachunków oszczędnościowych stosowane przez podmiot prowadzący rachunek,4) ustanowienia zabezpieczeń i ubezpieczenia, z wyjątkiem kosztów ubezpiecz
enia spłaty kredytu - wraz z oprocentowaniem i pozostałymi kosztami - na wypadek śmierci, inwalidztwa, choroby lub bezrobocia konsumenta,5) wynikających ze zmiany kursów walut.
2. Wzory obliczenia rzeczywistej rocznej stopy oprocentowania określa załącznik do ustawy.
3. Utracone korzyści z tytułu wniesienia środków pieniężnych, w przypadku kredytu, o którym mowa w art. 2 ust. 2 pkt 6, ustala się jako różnicę pomiędzy oprocentow
aniem rynkowym a stosowanym w tej umowie.4. Przez oprocentowanie rynkowe, o którym mowa w ust. 3, należy rozumieć średnie ważone oprocentowanie w stosunku rocznym rachunków terminowych w złotych osób fizycznych prowadzących gospodarstwa domowe w wysokości odpowiadającej maksymalnemu okresowi oczekiwania na kredyt przewidzianemu w umowie, ogłaszane przez Prezesa Narodowego Banku Polskiego co sześć miesięcy w Dzienniku Urzędowym Narodoweg
o Banku Polskiego.5. Jeżeli okres oczekiwania na kredyt, o którym mowa w ust. 4, jest dłuższy niż 36 miesięcy, za oprocentowanie rynkowe przyjmuje się średnie ważone oprocentow
anie w stosunku rocznym rachunków terminowych, o których mowa w ust. 4, prowadzonych na 36 miesięcy.
Art. 8.
1. Kredytobiorca jest uprawniony do spłaty kredytu przed terminem określonym w
umowie. Termin dokonania spłaty powinien odpowiadać terminom wnoszenia rat określonym w umowie.2. Jeżeli konsument spłaca kredyt przed terminem w
ówczas w przypadku:1) kredytu oprocentowanego - nie jest zobowiązany do zapłaty oprocentowania za okres po spłacie kredytu,
2) kredytu nieoprocentowanego - konsument ma prawo do zmniejszenia zapłac
onych kredytodawcy prowizji i opłat proporcjonalnie do okresu, o który skrócono czas korzystania z kredytu.3. Kredytodawca może zastrzec prowizję za wcześniejszą spłatę kredytu konsumen
ckiego tylko w umowach dotyczących kredytów walutowych lub kredytów o stałej stopie procentowej w okresie kredytowania, o ile kwota kredytu jest wyższa niż 5000 zł.4. Kredytodawca obowiązany jest rozliczyć się z konsumentem w terminie 14 dni od dnia dokonania spłaty kredytu.
Art. 9.
1. Weksel lub czek konsumenta wręczony kredytodawcy w celu spełnienia lub zabe
zpieczenia świadczenia wynikającego z umowy o kredyt konsumencki powinien zawierać klauzulę "nie na zlecenie".2. W razie przyjęcia przez kredytodawcę weksla lub czeku niezawierającego klauzuli
"nie na zlecenie" i przeniesienia takiego weksla lub czeku na inną osobę kredytodawca obowiązany jest do naprawienia poniesionej przez konsumenta szkody w związku z zapłatą na rzecz posiadacza weksla lub czeku.3. Przepis ust. 2 stosuje się również, gdy weksel lub czek znalazł się w posiadaniu i
nnej osoby wbrew woli kredytodawcy.
Art. 10.
1. Wyłączenie lub ograniczenie zarzutów przysługujących konsumentowi w razie przelewu przez kredytodawcę wierzytelności z umowy o kredyt konsumencki jest bezskuteczne.
2. W razie przejęcia albo przystąpienia przez konsumenta do długu wynikającego z
umowy, na podstawie której został udzielony kredyt konsumencki innej osobie, kredytodawca obowiązany jest do poinformowania konsumenta na piśmie o warunkach kredytu. Art. 4 ust. 2 i 3 stosuje się odpowiednio.
Art. 11.
1. Konsument, z zastrzeżeniem ust. 5 i art. 12 ust. 1, może bez podania przyczyny, odstąpić od umowy o kredyt konsumencki w terminie 3 dni od dnia zawarcia um
owy. Jeżeli umowa o kredyt konsumencki nie zawierała informacji o uprawnieniu do odstąpienia od umowy, konsument może odstąpić od umowy w terminie 10 dni od dnia otrzymania pisemnej informacji o prawie odstąpienia od umowy, nie później jednak niż w terminie 2 miesięcy od dnia zawarcia umowy.2. Kredytodawca obowiązany jest przy zawarciu umowy wręczyć konsumentowi wzór oświadczenia o odstąp
ieniu od umowy z oznaczeniem swojego imienia, nazwiska (nazwy) i adresu zamieszkania (siedziby).3. Termin do odstąpienia od umowy jest zachowany, jeżeli konsument przed jego
upływem złoży pod wskazanym przez kredytodawcę adresem oświadczenie o odstąpieniu od umowy. W razie spełnienia świadczenia przez kredytodawcę przed upływem terminu do odstąpienia od umowy odstąpienie staje się skuteczne, jeżeli świadczenie zostanie zwrócone kredytodawcy łącznie z oświadczeniem o odstąpieniu od umowy.4. Przed upływem terminu do odstąpienia od umowy konsument nie jest zobowiązany do spłaty kredytu ani zapłaty oprocentowania. W razie odstąpienia od umowy kr
edytodawca obowiązany jest niezwłocznie zwrócić poniesione przez konsumenta na rzecz kredytodawcy koszty kredytu, z wyjątkiem opłaty przygotowawczej oraz pobranych przez kredytodawcę opłat związanych z ustanowieniem zabezpieczenia.5. Prawo do odstąpienia od umowy nie przysługuje konsumentowi w razie zawarcia umowy o kredyt konsumencki przeznaczony na nabycie rzeczy lub prawa, których cena zależy wyłącznie od ruchu cen na rynku finansowym lub giełdowym.
6. Kredytobiorca jest uprawniony do odstąpienia od umowy, o której mowa w art. 2 ust. 2 pkt 6, przed uzyskaniem kredytu. Za okres utrzymywania wniesionych śro
dków pieniężnych należy mu się oprocentowanie określone w umowie, nie niższe jednak niż określone na podstawie art. 7 ust. 4 i 5.7. W przypadku odstąpienia od umowy, o której mowa w ust. 6, kredytodawca ob
owiązany jest rozliczyć się z konsumentem w terminie 14 dni od dnia odstąpienia od umowy.
Art. 12.
1. Jeżeli kredyt konsumencki przeznaczony był na nabycie określonej rzeczy lub
usługi na podstawie umowy zawartej poza lokalem przedsiębiorstwa lub na odległość to odstąpienie przez konsumenta od tej umowy jest skuteczne także wobec umowy o kredyt konsumencki.2. W przypadku odstąpienia od umowy, o którym mowa w ust. 1, kredytodawca ob
owiązany jest zwrócić poniesione przez konsumenta koszty zgodnie z trybem określonym w art. 11 ust. 4.
Art. 13.
1. W razie odstąpienia przez konsumenta od umowy, na podstawie której nabył on rzecz lub usługę, z powodu niewykonania lub nienależytego wykonania zobowiązania odstąpienie od tej umowy jest skuteczne także wobec umowy o kredyt ko
nsumencki, jeżeli pomiędzy podmiotem, z którym konsument zawarł umowę o nabycie rzeczy lub usługi a kredytodawcą istnieje umowa, na mocy której kredyt na nabycie rzeczy lub usługi jest dostępny wyłącznie od tego kredytodawcy.2. Jeżeli podmiot, z którym konsument zawarł umowę o nabycie rzeczy lub usługi
, udzielił kredytu we własnym imieniu wówczas odstąpienie od umowy sprzedaży jest skuteczne również wobec umowy o kredyt konsumencki; ust. 3 stosuje się odpowiednio.3. W przypadku, o którym mowa w ust. 1, kredytodawca obowiązany jest zwrócić p
oniesione przez konsumenta koszty zgodnie z trybem określonym w art. 114. Jeżeli pomiędzy podmiotem, z którym konsument zawarł umowę o nabycie rzeczy lub usługi a kredytodawcą istnieje umowa, o której mowa w ust. 1, kredytodawca jest obowiązany względem konsumenta wykonać obowiązki wynikające z przep
isów o rękojmi za wady, gdyby spełniający świadczenie ich nie wykonał.5. Jeżeli z powodu nienależytego wykonania zobowiązania nastąpiło obniżenie ceny rzeczy lub usługi nabytej z wykorzystaniem kredytu konsumenckiego, konsument jest zwolniony z obowiązku spłaty kredytu w części odpowiadającej kwocie, o kt
órą nastąpiło obniżenie ceny.
Art. 14.
W razie zwłoki konsumenta z zapłatą dwóch pełnych rat kredytu, kredytodawca może wypowiedzieć umowę po uprzednim wezwaniu konsumenta, w trybie określonym w umowie kredytowej, do zapłaty zaległych rat w terminie nie krótszym niż 7 dni od
otrzymania wezwania pod rygorem wypowiedzenia umowy. Termin wypowiedzenia umowy nie może być krótszy niż 30 dni.
Art. 15.
1. W przypadku istotnego naruszenia postanowień art. 4-7 treść zawartej umowy o kredyt konsumencki ulega zmianie w ten sposób, że konsument obowiązany jest do zwrotu kredytu bez oprocentowania i innych kosztów kredytu należnych kredytodawcy, z zastrzeżeniem ust. 3, w terminie i w sposób ustalony w umowie. Jeżeli umowa nie określa sposobu spłaty kredytu, konsument obowiązany jest do jego zwrotu w równych ratach, płatnych co miesiąc od dnia zawarcia umowy. Jeżeli umowa nie przewiduje terminu spłaty kredytu, konsument obowiązany jest do jego zwrotu w terminie pięciu lat.
2. W przypadku naruszenia postanowienia art. 10 ust. 2 przepis ust. 1 stosuje się także do stosunku prawnego powstałego na skutek przystąpienia do długu albo przejęcia długu.
3. W przypadkach, o których mowa w
ust. 1 i 2, konsument jest zobowiązany do poniesienia przewidzianych w umowie kosztów ustanowienia zabezpieczenia i ubezpieczenia kredytu.
Art. 16.
W ogłoszeniach i reklamach dotyczących kredytu konsumenckiego zawierających w
arunki udzielenia kredytu kredytodawca lub podmiot pośredniczący w zawarciu umowy obowiązani są podawać rzeczywistą roczną stopę oprocentowania, wyliczoną od całkowitego kosztu kredytu.
Art. 17.
Postanowienia umowne nie mogą wyłączać ani ograniczać uprawnień konsumenta przewidzianych w ustawie, także w razie dokonania wyboru prawa obcego. W takich przypadkach stosuje się przepisy ustawy.
Art. 18.
Do umów objętych przepisami ustawy nie stosuje się przepisów Rozdziału I Działu IV Księgi trzeciej Kodeksu cywilnego.
Art. 19.
W ustawie z
dnia 20 maja 1971 r. - Kodeks wykroczeń (Dz.U. Nr 12, poz. 114, z 1981 r. Nr 24, poz. 124, z 1982 r. Nr 16, poz. 125, z 1983 r. Nr 6, poz. 35 i Nr 44, poz. 203, z 1984 r. Nr 54, poz. 275, z 1985 r. Nr 14, poz. 60 i Nr 23, poz. 100, z 1986 r. Nr 39, poz. 193, z 1988 r. Nr 20, poz. 135 i Nr 41, poz. 324, z 1989 r. Nr 34, poz. 180, z 1990 r. Nr 51, poz. 297, Nr 72, poz. 422 i Nr 86, poz. 504, z 1991 r. Nr 75, poz. 332 i Nr 91, poz. 408, z 1992 r. Nr 24, poz. 101, z 1994 r. Nr 123, poz. 600, z 1995 r. Nr 6, poz. 29, Nr 60, poz. 310 i Nr 95, poz. 475, z 1997 r. Nr 54, poz. 349, Nr 60, poz. 369, Nr 85, poz. 539, Nr 98, poz. 602, Nr 104, poz. 661, Nr 106, poz. 677, Nr 111, poz. 724, Nr 123, poz. 779, Nr 133, poz. 884 i Nr 141, poz. 942, z 1998 r. Nr 113, poz. 717, z 1999 r. Nr 83, poz. 931 i Nr 101, poz. 1178 oraz z 2000 r. Nr 22, poz. 271, Nr 73, poz. 852, Nr 74, poz. 855 i Nr 117, poz. 1228) po art. 138b dodaje się art. 138c w brzmieniu:"
Art. 138c. § 1. Kto w zakresie działalności swojego przedsiębiorstwa zawiera z konsumentem umowę o kredyt konsumencki z rażącym naruszeniem wymagań dotyczących treści umowy albo z pominięciem obowiązku doręczenia jej dokumentu, podlega karze grzywny.§ 2. Tej samej karze podlega, kto w ogłoszeniach i reklamach dotyczą
cych kredytu konsumenckiego, określając warunki udzielenia kredytu, nie podaje rzeczywistej rocznej stopy oprocentowania.§ 3. Kto przyjmuje od konsumenta weksel lub czek niezawierający klauzuli
"nie na zlecenie" w celu spełnienia lub zabezpieczenia świadczenia wynikającego z umowy o kredyt konsumencki, podlega karze grzywny.§ 4. Jeżeli przedsiębiorcą jest podmiot niebędący osobą fizyczną, o
dpowiedzialność przewidzianą w przepisach § 1-3 ponosi osoba kierująca przedsiębiorstwem lub osoba upoważniona do zawierania umów z konsumentami.".
Art. 20.
W ustawie z dnia 14 grudnia 1995 r. o spółdzielczych kasach oszczędnościowo-kredytowych (Dz.U. z 1996 r. Nr 1, poz. 2, z 1999 r. Nr 101, poz. 1179 oraz z 2001 r. Nr 8, poz. 64) w art. 29 dod
aje się ust. 3 w brzmieniu:"3. Do
umów o kredyt konsumencki zawieranych przez kasy stosuje się przepisy ustawy z dnia 25 maja 2001 r. o kredycie konsumenckim (Dz.U. Nr ..., poz. ...).".
Art. 21.
W ustawie z dnia 2 marca 2000 r. o ochronie niektórych praw konsumentów oraz o od
powiedzialności za szkodę wyrządzoną przez produkt niebezpieczny (Dz.U. Nr 22, poz. 271) w art. 13 skreśla się ust. 2.
Art. 22.
Do umów zawartych przed dniem wejścia w życie ustawy stosuje się przepisy dotyc
hczasowe.
Art. 23.
Ustawa wchodzi w życie po upływie 12 miesięcy od dnia ogłoszenia.
Załącznik do ustawy z dnia 25 maja 2001 r. (poz...)
Wzory obliczenia rzeczywistej rocznej stopy oprocentowania
I Wzór obliczenia rzeczywistej rocznej stopy oprocentowania.
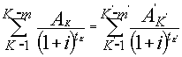
1. Rzeczywistą roczną stopę oprocentowania, wyrażoną w postaci rocznej stopy procentowej kwoty udzielonego kredytu, kredytodawca oblicza zgodnie z następującym wzorem matematycznym:

2. Poszczególne litery i symbole użyte we wzorze oznaczają:
K numer kolejnej wypłaty raty kredyt
u;K'
numer kolejnej spłaty kredytu lub kosztów;AK
kwota wypłaty raty kredytu "K";A'K'
kwota spłaty kredytu lub kosztów "K' ";S suma;
m numer ostatniej wypłaty raty kredytu;
m'
numer ostatniej spłaty kredytu lub kosztów;t K
okres, wyrażony w latach lub ułamkach lat, pomiędzy pierwszą wypłatą i kolejnymi wypłatami, począwszy od 2 do wypłaty "m";t K'
okres, wyrażony w latach lub ułamkach lat, pomiędzy pierwszą spłatą kredytu lub kosztów i kolejnymi spłatami, począwszy od 2 do spłaty "m' ";i rzeczywista roczna stopa oprocentowania.
3. W celu obliczenia rzeczywistej rocznej stopy oprocentowania przyjmuje się następujące założenia:
1) kwoty wypłacane i spłacane przez strony umowy o kredyt konsumencki nie muszą być równe, ani nie muszą być płacone w równych
2) datą początkową będzie data pierwszej wypłaty raty kredytu,
3) odstępy czasu między datami używanymi w obliczeniach wyrażone będą w latach lub w ułamkach roku, przy czym rok liczy 365 dni, a w przypadku lat przestępnych 366 dni,
4) wyn
ik obliczeń podaje się z dokładnością do co najmniej jednego miejsca po przecinku, przy czym jeżeli cyfra występująca po wybranym przez obliczającego miejscu po przecinku jest mniejsza niż 5, cyfrę tę pomija się, zaś gdy jest większa albo równa 5, cyfrę poprzedzającą zwiększa się o 1.4. W celu obliczenia rzeczywistej rocznej stopy oprocentowania uwzględnia się należności w wysokości z dnia zawarcia umowy.
5. Obliczanie rocznej stopy procentowej na podstawie kalendarza (1 rok = 365 dni, lub 366 dni w przypa
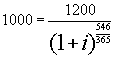
dku lat przestępnych). Przykłady obliczeń:1) kwota pożyczki: S = 1000 Euro w dniu 1 stycznia 1994 r.; spłata jednorazowa w wysokości 1200 Euro dokonana w dniu 1 lipca 1995 r., tzn. w 1 1/2 roku lub 546 dni (365 + 181) od dnia pożyczki;
równanie przybier
a postać:
lub

1 + i = 1,1296204
i = 0,1296204
powyższą liczbę zaokrągla się do 13 % (lub do 12,96 % w przypadku dokładności do dwóch miejsc po przecinku),
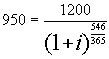
2) kwota pożyczki wynosi S = 1000 Euro w dniu 1 stycznia 1994 r., lecz pożyczkodawca zatrzymuje 50 Euro na koszty administracyjne, a więc kwota pożyczki wynosi w rzeczywistości 950 Euro; spłata w wysokości 1200 Euro, jak w przykładzie pierwszym, dokonana zostaje w dniu 1 lipca 1995 r.;
równanie przybiera postać:

lub

1 + i = 1,169026
i = 0,169026
powyższą liczbę zaokrągla się do 16,9 %,
3) kwota pożyczki wynosi 1000 Euro w dniu 1 stycznia 1994 r.; spłata w dwóch równych ratach po 600 Euro każda, płatnych po roku i po dwóch latach od dnia wypłaty pożyczki;
równanie przybiera postać:

rozwiązanie algebraiczne daje i = 0,1306623, co zaokrągla się do 13 % (lub 13,07 % w przypadku dokładności do dwóch miejsc po przeci
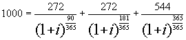
nku),4) kwota pożyczki wynosi 1000 Euro w dniu 1 stycznia 1994 r., zaś raty spłacone przez pożyczkobiorcę wynoszą:
po 3 miesiącach (0,25 roku lub 90 dni) - 272 Euro
po 6 miesiącach (0,5 roku lub 181 dni) - 272 Euro
po 12 miesiącach (1 rok lub 365 dni) - 544 Euro
_______
o
gółem 1088 Euro
równanie przybiera postać:

równanie pozwala na obliczenie "i"
wynik wynosi i = 0,13226, co zaokrągla się do 13,2 % (lub 13,23 % w przypadku dokładności do dwóch miejsc po przecinku).
II Wzór obliczenia rzeczywistej rocznej stopy oprocentowania dla kredytu, o którym mowa w art. 2 ust. 2 pkt 6.
1. Rzeczywistą roczną stopę oprocentowania dla kredytu, o którym mowa w art.2 ust. 2 pkt 6, kredytodawca obliczy zgodnie z następującym wzo
rem matematycznym:
2. Poszczególne litery i symbole użyte we wzorze oznaczają:
S kwota udzielonego kredytu lub rata wypłacona w momencie t;
UKO utracona korzyść odsetkowa;
PNG płatności niezwrotne ponoszone w okresie wnoszenia środków pieniężnych (prowizje, opłaty itp.);
RK rata kapitałowa;
OD odsetki zapłacone;
PNS płatności niezwrotne ponoszone w okresie spłaty (prowizje, opłaty itp.);
n ilość momentów ponoszenia opłat lub ponoszenia utraty korzyści w okresie gromadzenia wkład
N ilość momentów uiszczania rat kapitałowych lub ponoszenia kosztów odsetek i innych opłat w okresie spłaty;
M ilość momentów wypłaty rat kredytu;
Rt ułamek, wyliczony dla momentu t, w liczniku: ilość dni do lub od momentu 0, w mianowniku: 365 jako standardowa długość roku (ułamkowa ilość lat dzieląca dany moment od momentu 0
3. Rzeczywistą stopą procentową dla systemu oszczędnościowo-kredytowego jest najmniejsza wartość spełniająca powyższe równanie.
4. W celu obliczeni
a rzeczywistej rocznej stopy oprocentowania przyjmuje się następujące założenia:1) kwoty wypłacane i spłacane przez strony umowy o kredyt konsumencki nie muszą być równe, ani nie muszą być płacone w równych odstę
2) datą początkową będzie data pierwszej wypłaty raty kredytu,
3) odstępy czasu między datami używanymi w obliczeniach wyrażone będą w latach lub w ułamkach roku, przy czym rok liczy 365 dni, a w przypadku lat przestępnych 366 dni,
4) wynik obliczeń podaje się z dokładnością do co najmniej jednego miejsca po przecinku, przy czym jeżeli cyfra występująca po wybranym przez obliczającego miejscu po przecinku jest mniejsza niż 5, cyfrę tę pomija się, zaś gdy jest większa albo równa 5, cyfrę poprzedzającą zwiększa się o 1.
5. W celu obliczeni
a rzeczywistej rocznej stopy oprocentowania uwzględnia się należności w wysokości z dnia zawarcia umowy.6. Przykład obliczenia rzeczywistej rocznej stopy procentowej dla następującego systemu:
1) przyszły kredytobiorca oszczędza przez 5 lat, wpłacając corocznie kwotę 1000 zł i otrzymuje oprocentowanie wartości wkładu w wysokości 5% (przy oprocentowaniu rynkowym 10%); odsetki są kapitalizowane,
2) w okresie gromadzenia wkładu przyszły kredytobiorca może być obciążany dodatkowymi płatnościami niezwrotnymi (opłaty, prowizje itp.),
3) po 5 latach ma możliwość wykorzystania wkładu ze skapitalizowanymi odsetkami oraz otrzymania kredytu o wartości dwukrotnie większej od zgromadzonego kapitału,
4) spłata następuje w 10 równych ratach rocznych,
5) kredyt jest oproce
ntowany na 10% w stosunku rocznym, odsetki są obliczane od niespłaconej wartości kredytu przed spłatą kolejnej raty kapitałowej,6) w okresie spłaty kredytobiorca może być obciążany dodatkowymi płatnościami (np. prowizje),
7) wszystkie koszty i nieotrzyman
e korzyści są dyskontowane na moment otrzymania kredytu;wyliczenie rzeczywistej stopy procentowej jest dokonywane według następującej formuły:
gdzie:
S kwota udzielonego kredytu;
UKO utracona korzyść odsetkowa;
PNG płatności niezwrotne ponoszone w okresie gromadzenia wkładu;
RK rata kapitałowa;
OD odsetki zapłacone;
PNS płatności niezwrotne ponoszone w okresie spłaty;
kredyt, jaki otrzyma klient wyniesie 11603,83 zł.;
raty spłacane przez kredytobiorcę wyniosą:
po pierwszym roku (365 dni) -
1160,38 zł(RK) + 1160,38 zł(OD) = 2320,77,po drugim roku (730 dni) - 1160,38 zł(RK) + 1044,34 zł (OD) = 2204,73,
po trzecim roku (1095 dni) - 1160,38 zł(RK) + 928,31 zł (OD) = 2088,69 zł,
...
po dziesiątym roku (3650 dni) - 1160,38 zł(RK) +116,04(OD)=1276,42 zł;

dla określonego powyżej systemu rzeczywista stopa oprocentowania wynosi zatem 12,585%.